分析|水泥厂生料立磨分享:水泥厂SO2排放影响因素的计算分析

鸿程水泥厂生料立磨,集破碎、干燥、粉磨、分级、输送于一体,能耗低,和球磨机相比较能耗低40%-50%!业务咨询电话:18878317068(同微信号)
桂林鸿程水泥厂生料立磨分享水泥厂SO2排放影响因素的计算分析,来源北极星大气网,1SO2在水泥系统中的不同形态, 1.1烟气SO2的来源水泥窑系统中的硫是由原材料和燃料带入的。原料中的硫以有机硫化物、硫化物(简单硫化物或者复硫化物如硫铁矿)或者硫酸盐的形式存在,单质硫可以忽略不计。
1.2硫的循环
原料中存在的硫酸盐在预热器系统通常不会形成SO2气体,大体上都会进入窑系统。其中一部分硫酸盐会在窑内高温带发生分解,生成的SO2气体随窑气向窑尾运动,在到达最低两级预热器等温度较低区域时,冷凝在温度较低的生料上,并随生料沉集一起进入窑内,形成一个在预热器和窑之间的循环,而未分解的硫酸盐则会随着熟料离开窑系统。原料中以其它形式存在的硫(主要以硫化物形式存在),则会在300~600℃被氧化生成SO2气体,主要发生在五(四)级预热器的第二级旋风筒。
1.3燃料中的硫
分解炉燃料燃烧生成的SO2会被分解炉存在的大量活性CaO吸收,生成的CaSO4随物料经最低级旋风筒水泥厂由窑尾烟生料立磨室进入窑内。窑头喂入的燃料产生的SO2气体会和硫酸盐在窑内高温带分解产生的SO2气体经历类似的历程。尾煤分解炉中的尾煤燃烧过程以及吸收过程相对于窑头短,残留SO2要多,窑尾喷煤对废气中的SO2影响较大。
1.4 SO2的排放
原料中的硫氧化产生的SO2在通过上级旋风筒时会被部分吸收,其余则随废气一道从预热器排出。如果废气用于烘干原料,则SO2在原料磨中进一步被吸收。在温度低于600℃的情况下,CaCO3对SO2的吸收效率要远低于CaO。上面两级预热器中CaCO3分解率极低,且仅有少量CaO被烟气从高温部分带上去,因此吸收效率很低。
1.5 窑系统中的SO2
窑内SO2一方面主要来自于CaSO4热分解,另一方面来自于硫酸盐与煤粉中的碳反应。

实验表明,当窑内含氧量大于4%,或避免煤粉未燃尽,使硫化物与碳无接触机会,SO2的挥发量就会降低。窑内排风足够,就会减少SO2,硫化物在窑内停留时间长及烧成温度高,有利于SO2的增加,因此,操作上提高窑速、控制烧成温度是正确可行的。
1.6生料制备系统对SO2的影响
对于预分解窑生产线,其生料制备系统与熟料烧成系统是设计为一个整体的水泥厂,生料粉立磨需要使用烧成废气的余热烘干,而且两者共用一个废气处理系统。由于生料磨的能力设计得比窑大一些,所以存在磨停窑不停的情况。生产实践发现,当窑磨联动运行的时候,所排废气中的SO2要远低于停磨开窑的时候,说明生料粉磨系统对水泥窑废气有脱硫作用。当窑磨联动运行的时候,含有SO2的窑尾废气进入生料磨以后,就会与生料中的CaCO3在O2的参与下发生如下反应:
2SO2+2CaCO3+ O2= 2CaSO4+2CO2
这就是生料磨具有脱硫功能的原理。通常情况下这种反应是十分缓慢的水泥厂,但在生料立磨内情况就不同了,由于原料的烘干将产生大量水蒸气、用于烘干的窑尾废气具有较高的温度、CaCO3在粉磨过程中会产生大量的新生界面,这一反应速度被大大加快。生料粉磨系统对SO2的吸收率与原料的湿含量、系统气体氧含量、系统温度、物料循环量、生料粉磨细度,以及废气在磨内的停留时间有关。据国外有关资料介绍,由于窑磨运行工况以及原燃材料含硫量的不同,当窑磨联动运行时,生料粉磨对SO2的吸收率能达到20%~70%。窑磨联动运行不仅可以减少生料成分(受窑灰影响)、烧成用风、余热利用的波动,对稳定烧成工况十分有利,而且还是消减窑尾废气中SO2的工艺措施。
2 SO2排放平衡计算
我公司正常生产过程中废气排放中硫基本不超标,排放量基本维持在50-60mg/Nm3左右,当停一台辊压机时硫排放指标达120-130mg/Nm3左右,超出国控标准100mg/Nm3。在目前生产过程中,在生料配料中添加电石渣来进行脱硫,脱硫效果较好,可维持在控制标准以下。以下为公司针对硫排放进行的分析;
2.1原燃材料中硫含量(表1)
表1为各种原燃材料中的硫含量。
表1原燃材料中硫含量

2.2系统中各环节对硫的吸收
(1)在预分解窑系统中,原煤中所含的硫在燃烧过程中生成SO2,被碱性氧化物吸收形成硫酸盐,部分水泥厂与物生料夹杂立磨在一起形成结皮,一部分冷却后被固定到熟料中。烧成系统中减少硫的挥发主要是减少原煤中的硫含量;第二就是降低硫的挥发系数,查阅相关资料,影响硫的挥发系数主要因素为硫碱比,硫碱比越高挥发系数也越高,通常控制在0.5-0.8之间,微山公司硫碱比基本在控制范围内。
熟料中硫含量为0.36%,折合生料为0.35%÷1.58=0.22%。
烧成系统中的吸收率为(0.24%-0.22%)÷0.24%=8%,吸收能力较弱。
(2)生料系统对硫的吸收
由表1可知,水泥厂理论吨生料立磨中硫含量为0.41%。
窑回灰中硫含量为0.61%,通过标定每小时回灰为30吨左右。
正常生产时两台辊压机台时为400t/h,窑尾硫排放60mg/Nm3,标定时标况风量为550000Nm3左右。
停一台辊压机时台时为200t/h,窑尾硫排放120mg/Nm3,标定时标况风量为600000Nm3左右。
计算方式如下;
a、辊压机同时开机时:
理论生料中的硫:400t×0.41%+30t×0.61%=1823kg
废气排放中的硫:550000Nm3×60mg/Nm3×80/64=41.25kg
实际生料中的硫:(400+30)t×0.24%=1032kg
台时为400t/h时,生料系统吸收的硫为1823-41.25-1032=749.75kg
生料系统硫吸收率为749.75/1823=41.1%
b、当停一台辊压机时:
理论生料中的硫:200t×0.41%+30t×0.61%=1003kg
废气排放中的硫:600000Nm3×120mg/Nm3=72kg转化为SO3=90kg
实际生料中的硫:(200+30)t×0.24%=552kg。
根据以上计算台时200t/h时,生料系统可吸收的硫为374.875kg
理论推算可知废气排放中硫含量为:1003-374.875-552=76.125,可以达到平衡。
根据上述计算可知硫的排放过程中,在烧成系统中是一个复杂的循环过程,烧成系统吸收能力较弱水泥厂,生料立磨的吸收能力较强,生料台时越高吸收硫越多,所以在停一台辊压机时超出一台辊压机生料立磨量的吸收能力的硫形成逃逸造成硫超标。公司尽量保证两台辊压机同时开机既可以保证生料的稳定又可以保证硫排放达标。在排放超标时添加电石渣来进行脱硫,目前的使用效果较好,用量较少效果明显。
3 根据排放标准计算石灰石硫含量的控制标准
以5000t/d的回转窑为例,以1h为计算单位,窑灰不外排。假定:废气的SO2含量刚好满足排放要求,为50mg/Nm3,废气量为550000Nm3/h,熟料产量为250t/h,实物煤耗为130kg/t,熟料的SO3含量为0.3%,生料耗为1.55,煤全硫为0.70%,湿粉煤灰硫为0.8%,铁质校正原料全硫为0.33%,水泥厂生料配料立磨中石灰石、湿粉煤灰、铁质校正原料的使用比例分别为83%、11%、6%,则可通过计算求出入磨石灰石的硫含量。计算过程如下:
①熟料中的硫:
0.4%×250×1000×32÷80=400kg/h
②废气中的硫:
500×520000×10-6×32÷64=13kg/h
③煤带入的硫:
0.48%×125×250=150kg/h
④湿灰带入的硫:
250×1000×1.59×9.5%×0.87%=328.5kg/h
⑤铁质校正原料带入的硫:
250×1000×1.59×7.5%×0.14%=41.7kg/h
⑥石灰石带入的硫:
400+13-(150+328.5+41.7)×50%=152.9kg/h
⑦入磨石灰石的硫含量:
152.9÷(250×1000×1.55×79.5%)×100%=0.05%
从以上计算看出,当废气的SO2排放浓度≤50mg/Nm3时,入磨石灰石的硫含量应小于0.05%。
4 根据目前工艺运行状况降低废气SO2排放的措施
(1)严格控制进厂原燃材料的硫含量,重新制定验收标准,根据理论计算值降低硫含量验收标准。并依据使用的原材料成分和成本比例,制定易烧性好的配料方案。
(2)电石渣的进厂与存放,严格控制电石渣的进厂指标,其次,制定合理的存放周期,电石渣存放时间较长会导致Ca(OH)2吸收空气中的CO2生成CaCO3,由于在温度低于600℃的情况下,CaCO3对SO2的吸收效率要远低于CaO,所以要求化验室做出电石渣失效时间控制合理库存,并且做好覆盖工作隔绝空气。
(3)水泥厂生料系统立磨中,在保证用电成本不升高的前提下,尽量降低生料细度、提高生料比表面积,提高辊压机的循环负荷。提高废气在生料系统中与生料的反应效率。保证辊压机V选料幕均匀,防止偏料而导致风短路。
(4)当停辊压机时,停一台辊压机后,系统用风改变,有50%—60%废气不经过生料系统而直接由增湿塔经过窑尾收尘从废气烟囱排走,导致大量SO2不经过生料系统脱硫,造成排放指标超标。这时适当开启增湿塔喷水装置,增加水浓度,使废气在增湿塔至尾排管道中的水分增加,加快SO2与水的反应,在于窑尾电袋收尘处与生料中的CaO、CaCO3等反应,加大降硫效果。
(5)当原材料中的硫超标时,适时开启窑灰外排设施。减少固态硫在生料中的循环,降低二氧化硫的产生。
(6)回转窑的操作方面,提高窑尾过剩空气系数,窑内排风足够,减少SO2,此外,硫化物在窑内停留时间长及烧成温度高,有利于SO2的增加,因此,操作上适当提高窑速、合理控制烧成温度,尾煤分解炉中的尾煤燃烧过程以及吸收过程相对于窑头短,残留SO2要多,窑尾喷煤对废气中的SO2影响较大,提高三次风温,适当降低窑尾用煤。
(7)环保成本计算公式
1)废气排放当量计算公式:实测(SO2、NOX、FC)排放浓度(mg∕m3)×风量(总排放量m3)÷106(mg∕m3与kg∕m3换算系数)÷换算系数(SO2、NOX换算系数为:0.95;FC换算系数为:2.18)=换算计费当量值。
2)SO2、NOX、FC排污费计算公式:换算计费当量值×当量档次价格。
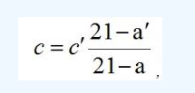
3)实测浓度与折算浓度的换算关系:

C为折算浓度,c'为实测浓度,a'为标准氧气浓度10%,a为实测氧气浓度。
所以实际计费标准与风量大小无关,折算浓度与实测含氧量关系很大,含氧量越高折算浓度越高,所以要针对生料系统以及窑尾废气系统进行密封堵漏,降低窑尾氧气含量。
5 结束语
水泥厂废气中SO2的主要来源是原燃材料,其中石灰石影响最大;在整个工艺系统中,水泥厂生料立磨系统有很强的自我吸收能力,通过计算,吸附能力达到40%以上,可以通过窑系统和生料系统的联动开机来实现降低SO2排放;通过理论计算,可以制定合理的原材料验收标准,从而降低废气中SO2的排放;根据废气SO2的折算公式可以看出,合理地降低窑尾废气中的氧含量,也有效降低折算浓度。
关于水泥厂SO2排放影响因素的计算分析,桂林鸿程分享到此。减少水泥厂的S02的排放,降低空气污染是水泥厂重之重的工作,桂林鸿程研发生产的HLM系列立式磨粉机是桂林鸿程通过学习引进国外先进技术,经历二十多年潜心研究开发出的一款集烘干、粉磨、分级、输送为一体的有效节能的先进粉磨设备。具有粉磨效率高、电耗低、入料粒度大、产品细度易于调节、设备工艺流程简单、占地面积小、噪音低、扬尘小、使用维护简便、运行费用低、耐磨材料消耗少等优点。可广泛用于电力、冶金、水泥、化工、非金属矿等行业,主要用于对水泥生料、熟料、电厂脱硫石灰石粉、矿渣微粉、锰矿、石膏、煤、重晶石、方解石、铝矾土等物料进行粉磨加工。欢迎致电桂林鸿程咨询水泥厂生料立磨以及其它矿物的磨粉机业务,联系电话:18878317068(同微信号)